Благодаря чему растет американский рынок акций? S&P 500 отмахивается и от завышенных оценок, и от шатдауна. Широкий фондовый индекс установил уже 31-й рекорд с начала года. Несмотря на всю непредсказуемость Дональда Трампа, инвесторы свято верят в желание президента США во что бы то ни было поддержать рынки. А ведь есть еще цикл ослабления денежно-кредитной политики ФРС и технологии искусственного интеллекта.
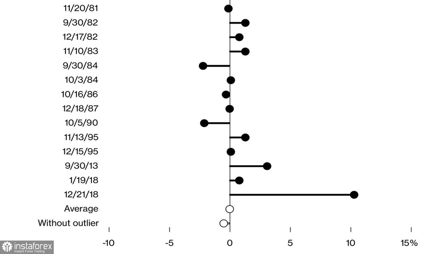
Демократы и республиканцы находятся в тупике. Никто и думать не хочет, чтобы идти на уступки и возвращать правительство США к работе. Вероятнее всего, отключение исполнительной власти продлится еще по меньшее мере неделю. История предыдущих 20 шатдаунов показывает, что S&P 500 чаще рос. Однако если исключить 2018, когда он прибавил более 10%, средний показатель роста/падения станет отрицательным.
Реакция S&P 500 на шатдауны

Чем выше взбирается широкий фондовый индекс, чем чаще кружится голова у «быков». Последним, кто сделал предупреждение, стал Goldman Sachs. Руководство банка не будет удивлено, если S&P 500 в течение двух ближайших лет будет топтаться на месте после безудержного ралли в 2023-2025. Ситуация напоминает кризис доткомов. Сейчас, как и тогда, соотношение P/E близко к 23.
Однако оптимистов на рынке предостаточно. По их словам, начиная с лета 2022 имели место предупреждения о пузыре в технологических компаниях. Однако искусственный интеллект продолжает толкать S&P 500 все выше и выше.
С другой стороны, все познается в сравнении. Если широкий фондовый индекс США с начала года прибавил 14%, то его азиатский аналог MSCI Asia Pacific вырос приблизительно на 22%. При этом большинство экспертов Bloomberg считает, что регион продолжит превосходить Америку. К основным рискам S&P 500 специалисты отнесли высокие фундаментальные оценки, проявление негативного воздействия тарифов на корпоративные доходы и высокую концентрацию рынка акций в нескольких крупных компаниях.
Прогнозы по динамике S&P 500 и MSCI Asia Pacific

Как показывает история, превосходство того или иного фондового индекса над американским не всегда приводило к переливу капитала из Соединенных Штатов в Азию или Европу. Чаше всего нерезиденты остаются на самом большом и ликвидном рынке акций в мире. Просто страхуют валютные риски. Характерным примером является доминирование EuroStoxx 600 в первой половине года.

Ни один тренд не длится вечно. Сколь бы сильным он ни был. Коррекции неизбежны. Но учитывая, как инвесторы научились выкупать малейшие провалы S&P 500, понимаешь, что требуется очень серьезный драйвер для отката широкого фондового индекса.
Технически на дневном графике S&P 500 сомневаться в силе восходящего тренда не приходится. Ключевой поддержкой являются справедливая стоимость на 6650. Пока торговля идет выше, следует отдавать предпочтение покупкам в направлении ранее озвученных целевых ориентиров на 6800 и 6920.
